2.1 减数分裂和受精作用同步测试
选择题
第1题
下列有关细胞分裂的叙述,正确的是 ( )
A.
减数分裂维持了生物前后代体细胞中染色体数目的恒定
B.
联会后形成的一个四分体中含2 个双链DNA 分子
C.
细胞质正在发生不均等分裂的时期,细胞中不一定有同源染色体
D.
观察减数分裂的实验,材料通常为雌蕊或精巢
请输入本题答案:
我要多选
作答:
答案:
查看解析
请查看解析
答对了
答错了
第2题
下列有关减数分裂及受精作用的相关叙述错误的是 ( )
A.
精原细胞(AaBb )经减数分裂形成精子的类型可能为AB ,ab ,Ab ,aB
B.
精原细胞(AaX
b
Y )因减数分裂异常,产生了AAaY 的精子,则其他精子的类型是aY 、X
b
、X
b
C.
雄果蝇有丝分裂后期和减数第二次分裂后期的细胞中一定含有两条Y 染色体
D.
减数分裂和受精作用可维持生物体前后代体细胞中染色体数目的恒定
请输入本题答案:
我要多选
作答:
答案:
查看解析
请查看解析
答对了
答错了
第3题
图为某哺乳动物(基因型为AaBbDd )体内一个细胞的分裂示意图。据图分析,下列说法错误的是 ( )
① 该细胞分裂产生的子细胞可能是精细胞
② 该细胞形成过程中发生了基因重组、染色体数目变异和染色体结构变异
③ 与该细胞来自同一个亲代细胞的另一个细胞中最多含有8 条染色体
④ 该细胞中含有同源染色体,正处于有丝分裂后期
A.
①②
B.
②③
C.
③④
D.
②④
请输入本题答案:
我要多选
作答:
答案:
查看解析
请查看解析
答对了
答错了
第4题
下图为某二倍体生物细胞分裂示意图,据图分析正确的是 ( )
A.
图②产生的子细胞是精细胞或极体
B.
以上5 个细胞中属于有丝分裂过程的有②③⑤
C.
以上5 个细胞中都含有同源染色体
D.
一个基因型为AaX
b
Y 的精原细胞,在减数分裂过程中,由于染色体分配紊乱,产生了一个AaX
b
的精子,则另外三个精子的基因型分别是AaX
b
、Y 、Y
请输入本题答案:
我要多选
作答:
答案:
查看解析
请查看解析
答对了
答错了
第5题
图甲为XY 型性别决定的家鼠细胞分裂某时期的示意图(部分染色体),图乙为某个细胞发生三个连续生理过程时细胞中染色体条数的变化曲线。下列正确的是 ( )
A.
图甲细胞的子细胞为精细胞
B.
图甲细胞所处时期对应于图乙中的EF 时期
C.
图乙中时期DE 和时期HI 染色体数量变化的原因相同
D.
图甲中染色体1 和2 的相同位置上分别为t 和T 基因,这种现象产生的原因是等位基因分离
请输入本题答案:
我要多选
作答:
答案:
查看解析
请查看解析
答对了
答错了
第6题
下图为某动物体内细胞正常分裂的一组图像,对此相关叙述错误的是 ( )
A.
同源染色体的分离发生在细胞④中,非同源染色体的自由组合发生在细胞②中
B.
细胞①②③中均含有同源染色体
C.
细胞①分裂形成的是体细胞,细胞④分裂形成的是精细胞
D.
细胞①和④中的DNA 分子数∶染色体数=1∶1 ,细胞②的子细胞叫做次级精母细胞
请输入本题答案:
我要多选
作答:
答案:
查看解析
请查看解析
答对了
答错了
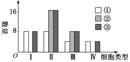
第7题
如图表示雄果蝇进行某种细胞分裂时,处于四个不同阶段的细胞(Ⅰ ~Ⅳ) 中遗传物质或其载体(① ~③) 的数量。下列表述错误的是 ( )
A.
该过程表示精原细胞进行的减数分裂
B.
② 表示染色单体数,③表示DNA 数
C.
Ⅰ 阶段细胞中含有8 条染色体、4 对同源染色体
D.
互换发生在Ⅱ和Ⅲ所处阶段
请输入本题答案:
我要多选
作答:
答案:
查看解析
请查看解析
答对了
答错了
第8题
甲至丁为某生物卵巢中的一些细胞分裂图,有关判断正确的是 ( )
A.
若图中所示细胞分裂具有连续性,则顺序依次为乙→丙→甲→丁
B.
甲、乙、丙细胞中含有的染色体数目依次为8 、4 、2
C.
甲、乙、丙中都有同源染色体
D.
乙是次级卵母细胞,丁可能为卵细胞
请输入本题答案:
我要多选
作答:
答案:
查看解析
请查看解析
答对了
答错了
第9题
下图中果蝇(2n )细胞类型是依据不同时期细胞中染色体数和核DNA 分子数的数量关系而划分的。下列有关叙述正确的是 ( )
A.
若c 细胞取自精巢且没有同源染色体,则c 细胞是次级精母细胞
B.
图示细胞类型中一定具有同源染色体的细胞类型有a 、b 和c
C.
属于同一次减数分裂的b 、d 、e 细胞出现的先后顺序是d→b→e
D.
若要观察某哺乳动物减数分裂的图像,最好选卵巢作为实验材料
请输入本题答案:
我要多选
作答:
答案:
查看解析
请查看解析
答对了
答错了
第10题
进行有性生殖的生物,通常要经过减数分裂形成雌雄配子,并通过受精作用产生后代。以下有关此方面的叙述,正确的是 ( )
A.
受精卵中的遗传物质,一半来自精子,一半来自卵细胞
B.
进行有性生殖的生物体产生的精子中,性染色体是X 染色体或Y 染色体
C.
如果只考虑细胞中染色体上的遗传物质,人体产生的精子总的种类最多只有2
23
种
D.
减数分裂和受精作用使得有性生殖的后代遗传物质组成多样,有利于生物的进化
请输入本题答案:
我要多选
作答:
答案:
查看解析
请查看解析
答对了
答错了
第11题
下列关于细胞分裂的叙述, 正确的是 ( )
A.
动物精原细胞在进行减数分裂过程中形成了4 个四分体, 则减Ⅱ后期的次级精母细胞中染色体数、染色单体数和DNA 分子数依次为16 、0 、16
B.
某细胞在减Ⅱ中期有染色体8 条, 此细胞在减数分裂过程中可产生4 个四分体
C.
某细胞有丝分裂后期有36 个着丝粒, 该细胞在减Ⅱ后期也有36 个着丝粒
D.
一个基因型为AaX
b
Y 的精原细胞, 在减数分裂过程中, 由于染色体分配紊乱, 产生了一个AaX
b
的精子, 则另外三个精子的基因型分别是AaX
b
、Y 、Y
请输入本题答案:
我要多选
作答:
答案:
查看解析
请查看解析
答对了
答错了
非选择题
第12题
如图为某高等生物处于不同分裂时期的细胞示意图。据图回答下列问题:
(1 )该图表示的是__________ (填“植物”或“动物”)的细胞分裂示意图。丙细胞中染色体、DNA 及染色单体的数目之比为_______________ 。
(2 )甲细胞中含有__________ 对同源染色体,乙细胞形成的子细胞的名称是_____________ ,三个细胞都能在该生物体内的______________ (填器官名称)中找到。
( 3 )若丙细胞分裂产生的某细胞可继续分裂形成丁细胞和戊细胞,请在下图中画出戊细胞的示意图。
请输入本题答案:
我要多选
作答:
答案:
查看解析
请查看解析
答对了
答错了
第13题
图1 表示玉米(2N=20 )的花粉母细胞进行减数分裂不同时期细胞的实拍图像,图2 表示细胞分裂的不同时期每条染色体上DNA 含量变化的关系,图3 表示细胞内不同物质相对含量的柱形图。请据图回答下列问题:
(1) 图1 减数分裂过程中导致配子中染色体组成多样性的事件发生的时期
(序号)。
(2) 制作减数分裂临时装片的操作顺序是解离→
(用文字和箭头表示)。
(3) 图1 中的⑤细胞中染色体数目有
条,同源染色体有
对,玉米体细胞中染色体数目最多为
条。
(4) 图1 中除了③外,与图2 中BC 段对应的图像还有
,CD 段下降的原因是
。
(5) 图3 中Ⅱ表示的物质相对含量对应图1 中的图像是
。
请输入本题答案:
我要多选
作答:
答案:
查看解析
请查看解析
答对了
答错了
第14题
下列是关于某哺乳动物的细胞分裂信息,请分析回答:
(1) 由图甲可知,该动物的性别为_____性,细胞②、③的名称是分别是__________。
(2) 如果细胞完成了图乙中①→②的过程,则该过程相当于图丙中_____段的变化(用字母表示),图乙A 、b 、c 中表示核DNA 的是_____。
(3) 图丙中CD 段形成的原因是__________。
(4) 若某生物的卵细胞中含有4 条染色体,该生物在减数分裂过程中可形成_____个四分体。
请输入本题答案:
我要多选
作答:
答案:
查看解析
请查看解析
答对了
答错了
提交对答案
声明:本文档由用户提供并上传,仅供用户内部交流学习使用,若内容存在侵权,请点击举报删除。
贡献者:
橘涂
通过疯狂刷题APP扫码登录
免费查看答案
使用
疯狂刷题APP
打开[我的-扫一扫]
疯狂刷题
www.yex.ink
疯狂刷题让你轻松应对各种考试
注: 请使用疯狂刷题APP扫码登录 (其他工具扫码无效)
口碑级应用
疯狂刷题APP
在各大应用市场均可下载
title
content
✓
不再提示
确定
关闭
题干详情
×